Waivers of Liability

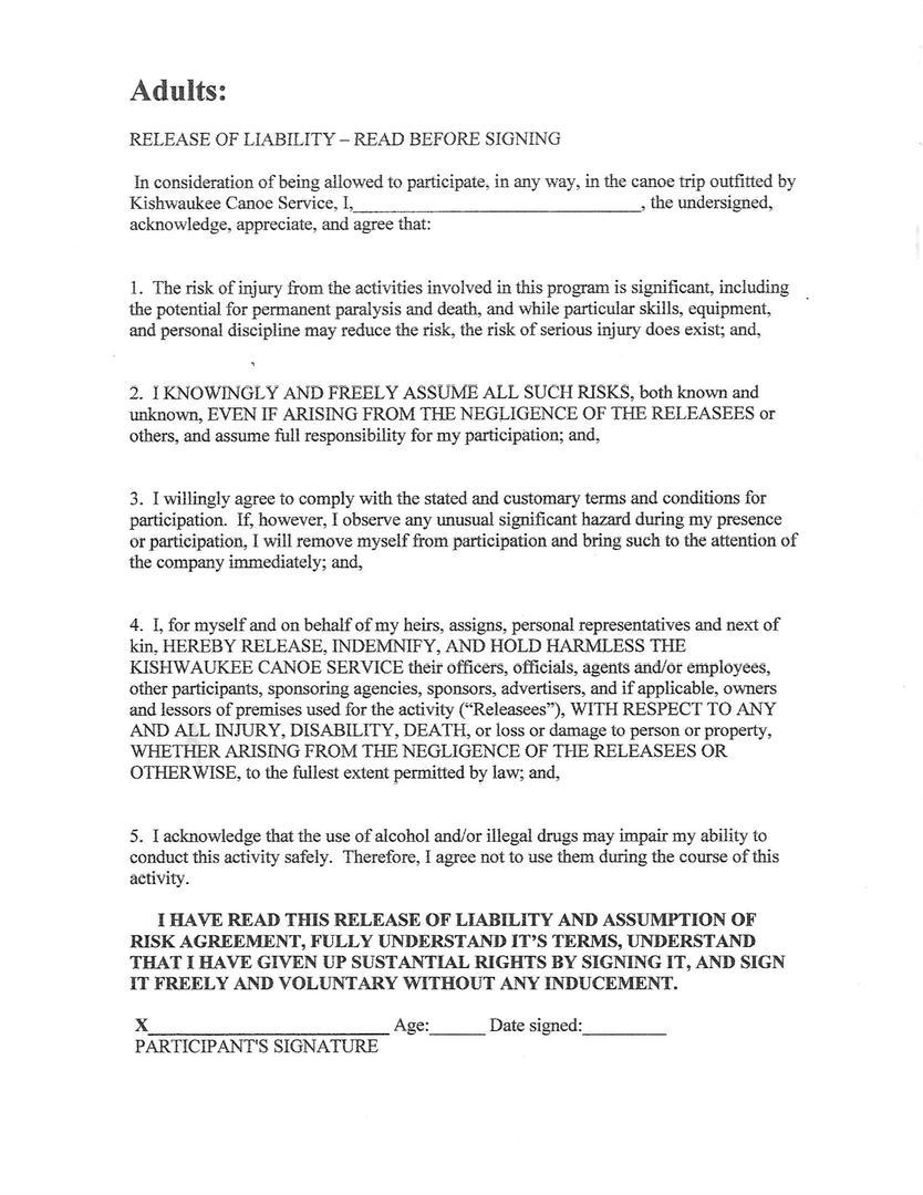
Waiver of Liability Adults
This is for groups to print and sign ahead to save time on the day of trip.
Liab waive Adults.pdf
Adobe Acrobat document [433.7 KB]
Waiver of Liability Minors
This is for groups to print and sign ahead to save time on the day of trip.
Liab waiver minors.pdf
Adobe Acrobat document [172.3 KB]

Contact us if you need assistance in planning a weekend outing

Schmidt's - Canoetrips.net

Elgin, IL


Phone: +1 815 708 4138 +1 815 708 4138

 

E-mail: Info@canoetrips.net